• Log In
  • Log In
Science Leadership Academy @ Center City
Science Leadership Academy @ Center City Learn · Create · Lead
  • Students
    • Mission and Vision
  • Parents
  • Community
    • Mission and Vision
  • Calendar

Paloma Fairfax Public Feed

Lit Log #1

Posted by Paloma Fairfax in College English · Pahomov/Kirby · C Band on Tuesday, December 5, 2023 at 8:30 am

“I wouldn’t do it on my own, Just by the way the nurse is taring at me with her mouth empty of words i can see i’m in for trouble, but I cant stop it. Mcmurphys got hidden wires hooked to itm lifting it slow just to get me out of the fog and into the open where i’m fair game, Hes doint itm wires..” In this scene the reader can see how well Kesey used imagery well with their description of how Bromdon felt, I feel like it puts is in his mind for a second. Though not totally clear, we can tell that Bromdon had raised his hand on his own, but he claims to be under the influence of McMurphy. He says that he pulled him out of the smoke out into the open so it’s fair game which could be a reference to his time in service. After the smoke hides you and keeps you safe, you are out in the open where it’s fair game of life and death. This could be what Kesey Meant. My drawing captures that moment mentally of McMurphy pulling Bromdon out of the smoke with wires attached. Although it isn’t what is happening, I have a theory that Bromdon has Psychosis and is hallucinating their whole life he has. If that theory is true then this hallucination could be connected to the way he sees the staff such as Big Nurse and how she changes shape and morphs into monsters, as well as the smoke that we now know is a trauma response safety thing he has gained from serving. As we read on in the book we are hit with the question of’ if McMurphy even has a mental illness or is he just a conman?’ As the reader sees this, this could raise suspicion of whether what he did in this scene benefited Bromdon or not in general. We can connect with Bromdon because were seeing from his view but we also can connect Bromdon to the handmaid’s tale where we didn’t have a reliable narrator thanks to past traumas. If that’s the case here then what if this mental hospital isn’t the place that Bromdon works but where he is admitted? And the fog is just a hallucinogenic side effect from his medicine due to his psychosis? In addition, if McMurphy is a Conman, then what is his goal, and why does this scene seem to be good for Bromdon but somehow make things worse for him? Past this scene, we see how Big Nurse eyes him down because she wonders how he heard McMurphy and then refers to himself as a “fool Indian” to seem less intriguing than the issue starter, Bromdon. What does this scene of freedom for Bromdon Mean? Is the main question that is the idea behind this drawing

20231201_102813 (1)
20231201_102813 (1)
Be the first to comment.

Lit Log #2

Posted by Paloma Fairfax in College English · Pahomov/Kirby · C Band on Sunday, November 5, 2023 at 10:03 pm

As someone who struggles with both mental health and memory loss, Offred has been very relatable to me as a character. In Margret Atwood’s “The Handmaid’s Tale”, The main character Offred is suffering as a handmaid in this new dystopian society following the collapse of the government in America. She’s forced to be a womb and a maid. Forced to lose her past life and ultimately lose herself. It becomes very easy for her to lose herself more and more as the story progresses. The more she remembers, the more trauma is revealed in the past and she then stops herself in the midst of the memories to remind herself why she forgot those memories. My past as a human being has not been as bad as Offred’s but it wasn’t all too normal either. Being in the situations I was at the age I was caused me to lose myself and put on a persona of compliance. This caused me to lose myself in the end which also contributed to my loss in memory. I don’t want to recall when in the past I’ve been hurt so I cut those memories out to make the suffering less of a pain.

On page 30 of the book, the reader is hit with a strong poetic line that uncovers a lot about Ofrred’s character and her thinking pattern. This could lead the reader to wonder about how reliable the past Offred explains is true later in the story. “When we think of the past it’s the beautiful things we pick out. We want to believe it was all like that.” Atwood seems to have portrayed Offred as this person who has a mindset of reconstructing* memories in order to fit her image of who this person she should be. It sounds like a survival instinct to blend in, in almost every way, so that you won’t die. Blending in so much that you become who you’re pretending to be. For as long as I can remember, I knew I wasn’t the gender I was assigned at birth, and it bothered me, but the household I grew up in had very negative opinions on transgender people. This led me to hide myself for a very long time, trying to fit in so much so I wouldn’t be suspected of someone who wants to be a different gender and to hide the thought that I would slip up about it. This caused me to lose who I actually was under all the pretending. The additional abuse and built-up negative memories I would have also slipped away. Why think about the bad things if they won’t get fixed? Was a thought I had frequently. I had it so much that I started forgetting my problems completely. There was never any use in thinking about things that couldn’t be helped, which led to the loss of most of my childhood memories.

The society that Offred resides in has a steady plan of internalizing misogyny in women into making them hate themselves, their bodies, and their beauty for “protection”. On page 72 were show an example of how internalized misogyny is practiced in Gilead and how it influences the handmaids into feeling about themselves. This caused them to blame themselves for countless acts of harassment and assault. “But whose fault was it? Aunt Helena says, holding up one plump finger. Her Fault, her fault, her fault, we chant in unison. Who Led them on? Aunt Helena beams, pleased with us. She did. She did. She did.” This section of the story shows the reader how the confessions go in Gilead. Janine is talking about a time she got raped and Aunt Helena responds by creating a growing chant within the crowd of women saying it was her fault and she led him on. In the society we live in today it is hard to be a woman. Being blockaded with standards to meet and men to please because our safety literally bets on how happy a man is. And, in this world, we are blamed for what happens to us in assault and harassment. If anything happens related to that the female is seen as getting what was coming to her because she was revealing. When I first came out as trans in school I was being sexually harassed multiple times by someone I thought of as a friend. When I went to tell a close friend of mine about it they responded with “Well this is what happens when you want to be a girl, you asked for it”. I immediately began hating who I was. I wasn’t allowed to feel comfortable in my skin. If I got hurt it was my fault. This is why I relate to Offred as a character and enjoy Atwood’s writing on this character in the story “The Handmaid’s Tale”.

Be the first to comment.

Lit Log #1

Posted by Paloma Fairfax in College English · Pahomov/Kirby · C Band on Thursday, November 2, 2023 at 10:58 am
IMG_8185
IMG_8185

My visual representation portrays the mass amount of symbolism in my school in the form of one big symbol. The water below and the cross-like hanging position represent the place Gilead is in while Offred is telling the story. In the show, it shows they’re in the same place where Obama made his speech. The eye above represents the influence the Eyes have on Gilead as a whole, they cause them war as well as paranoia within Gilead that their own peers may be spies from the eyes. Some say the eyes work with Gilead. The cross-like hanging position also represents the Religious influence on the world of Gilead. As we go within the story we are shown multiple times how religion is the cause of this country. The Handmaid wrapped in all the chains signifies the amount of control men have over them and even though this society was built to “Protect “ women, it does not give them basic human rights. Similar to just keeping someone in a box, as Offred said on page 165 “ A rat in a maze is free as long as it stays in the maze.” This was a reference to how she wasn’t able to travel outside of the walls and that she could go anywhere as long as she stayed within the border. She is also taught forced misogyny which we find out at the confession ceremonies in chapter 13 page 72. They are told to express the times they have been assaulted and then blame it on them. “ But whose fault was it? Aunt Helena says, holding up one plump finger. Her fault, her fault, her fault, we chant in unison, Who led them on, Aunt Helena beams, pleased with us. She did. She did. She DId. “ Atwood expresses the mass self-misogyny in the society we live in today and how that is the reason most women are brainwashed to love this life of just doing the cooking, cleaning, and bearing just like in this book, they use religion to justify their protection. They’re only used for breeding and caretaking and that’s exactly how the world is. The signs behind the handmaid represent the things Gilead actually stands for. Connecting to the freedom to and freedom from, the freedom they have in Gilead is from the hostility and abuse of men but that takes away their freedom to dress the way they want, act the way they want, and do the things they want. Even in this society of Gilead, we can see that the men have not been fully restricted for their abuse, mainly sexual abuse. There are still loopholes men go into such as the doctors who decide to touch women and use their infertility as an excuse to have sex with them. As well as the commander and his emotional connections with the handmaids and stealing and giving them things just for his pleasure and amusement since he’s lonely. The women don’t really have the freedom to or from anything at all.

Be the first to comment.

LGBTQ+ Inequality Worldwide

Posted by Paloma Fairfax in English 1 · Giknis · Y Band on Thursday, March 25, 2021 at 1:08 pm

We are equal. We are all human. We all live on earth. These things should be obvious right? Then why are there many acts of inequality around the world? One specific act of inequality is the hate towards the LGBTQ community. As I am a part of the community it is frustrating being bullied and watching others get hurt for being who they are even if we are all equal. My goal here is to not only educate you but to give you reasons and examples on how you can help the inequality in the LGBTQ community. Did you know that 71% of lgbt youth experience discrimination just for the way they are? 58% of transgender and nonbinary you are discouraged for using bathrooms that arent right for them and people don’t really care about it. [That is not equality.] (https://www.google.com/search?q=meaning+of+equality&rlz=1CAIXET_enUS946&oq=meaning+of+equality&aqs=chrome..69i57j0l9.3061j1j7&sourceid=chrome&ie=UTF-8)

[This graph shows the ratio of discrimination lgbtq you experience.](https://www.thetrevorproject.org/survey-2019/?section=Discrimination-Physical-Harm)
[This graph shows the ratio of discrimination lgbtq you experience.](https://www.thetrevorproject.org/survey-2019/?section=Discrimination-Physical-Harm)

Summary: After the law passing there are little to no changes in the discrimination towards the lgbtq+ community. There have been subtle changes that are good but have not impacted for the better. For example, some young lgbtq+ are in fear of experiencing discrimination in school or just in general. As of 2016 1 in 4 LGBT people are experiencing discrimination. Even though progress has been made, 27% of trans men and women are being fired because of their sexual orientation. 25% of LGBT people in general face discrimination because of their sexual orientation as well. The part that doesn’t get fired still gets affected by unseen harm. If there are get together s the men would only invite the men so no gay men could go causing them to feel left out or discriminated against.

Equality, something people all over the world have been fighting for, but have yet to experience. But in a more specific aspect, LGBTQ+ equality. In not just America, but everywhere including places such as El Salvador, Guatemala, and Honduras, there is inequality much worse than it seems. People even try to escape the violence that is in their homeland just to be able to be free, to be accepted, to be equal. This has been going on for years along with other acts of inequality and people trying to escape for a better life, but for some reason, it hasn’t been brought to anyone’s attention- no it’s not that it hasn’t been brought to anyone’s attention, its that no one has cared enough to make it a mainstream issue until now (since there are more people from the lgbtq+ community).

F4.medium
F4.medium

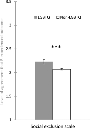
Though the science department in America follows the equality of LGBTQ+, the people who work in the fields do not follow the same laws. There is discrimination within the walls that need to be dealt with. There are more reports of harassment of LGBTQ+ in facilities than other counterparts. It was found that LGBTQ+ workers who work in the STEM field have worse experiences in the workplace than LGBTQ+ who don’t work in STEM systems. In surveys, interviews, and other data collected show that anti- LGBTQ+ biases were being practiced in most STEM workplaces meaning that that wouldn’t change just like that, they are used to this. Like something they know they should do.

F3.medium
F3.medium

link to my bibliography

Tags: English 9, You & the World
Be the first to comment.

Kite Runner Episode 2

Posted by Paloma Fairfax in English 1 · Giknis · Y Band on Saturday, February 27, 2021 at 2:38 pm
Kite Runner Episode 2
Be the first to comment.

Kite Runner by Khaled Hosseini

Posted by Paloma Fairfax in English 1 · Giknis · Y Band on Wednesday, February 24, 2021 at 12:34 pm
https://www.wevideo.com/view/2065780398

In this pilot episode, we talked about the first 3 chapters we read of Kite Runner by Khaled Hosseini. We all have our first impressions of the book as well as explained our future predictions on the book and where we think it will go the farther we read. We could all agree on one thing for sure, eventually, this book will go downhill and someone will get hurt in the story.

Quotes: “Later, I would tell myself I hadn’t felt envious of Hassan. Not at all”- I have little knowledge of what this quote by Amir means. This quote is on page 35 after they are woken up by the sound of gunfire and explosions in the middle of the night. Hassan is hugged by his dad, Ali, and Amir is somewhat jealous of this because he always feels distant from his father. But now he says he won’t be feeling this way in the future, this could mean something happens to Hassan. Like maybe he gets killed. Or maybe, he just gets over his jealousy, and it’s not anything remotely violent. - Jackson

“Sanaubar joined the neighborhood kids in taunting Ali” - Page 10 Ali’s face is paralyzed and he has a limp. He also happens to be a Haazar, which people didn’t like. He was taunted by adults and children. But Sanaubar, his wife and cousin also taunted him. She obviously didn’t like Ali so it just made me wonder why she married him and had a kid with him. She ended up running away but it still makes me question why she was in the relationship in the first place. - Tybria

“ After hearing the brother’s account and their father’s plea for mercy, my grandfather ordered the two young men to go to Kandahar at once and enlist in the army for one year- this despite the fact that their family had somehow managed to obtain the exemption from the draft” (pg.24) I chose this quote because I think that this type of punishment would be great for anyone who has committed any murders and is sentenced to execution in prison. We can send them to the army with control over them, so they can fight. If they survive during the time they have been in the army then they can be sentenced to life in jail. -Erec

Be the first to comment.

3 Choices, 1 Identity

Posted by Paloma Fairfax in English 1 · Giknis · Y Band on Tuesday, January 19, 2021 at 11:52 am

Reading Trevor Noah´s book made me realize I am not the only one that feels/felt torn between multiple cultures at a young age. He was brave enough to talk about everything in his life both good and bad. That’s inspiring. The way he talked about his family and friends and the effects they had on him shows how open and confident he is. It isn’t every day that you have an identity crisis at a young age so seeing Trevor talk about it made me less nervous to talk about it. My memoir explained in detail about a kid stuck between the lifestyles of the biggest influencers in their life. The kid (being me) is stuck and doesn’t know which lifestyle would look good on him from others’ perspectives. I go on to explain the lifestyles of each of the influences in my life and how they have already affected me. Then the story goes into realization on how others opinion arent the most important thing to life, it’s about what I do and if it makes me happy. That gives me the conclusion that life is about making sure what you do makes you happy. If you not happy with what you do then how can you enjoy life? Speaking of enjoyment, please enjoy the story. (Please note that there is another page for the last two chapters you may have to click on the pdf to see it)

3 Choices, 1 Identity
5 Comments

Distractions in “school” 2020

Posted by Paloma Fairfax in English 1 · Giknis · Y Band on Thursday, November 12, 2020 at 11:03 am
Distractions in “school” 2020
Be the first to comment.

E2 U1 - ¿Qué Hacemos? - Kenny Fairfax

Posted by Paloma Fairfax in Spanish 2 · Hernandez · D Band on Monday, November 9, 2020 at 1:31 pm
Screenshot 2020-11-09 at 1.31.17 PM
Screenshot 2020-11-09 at 1.31.17 PM
2 Comments
RSS
Profile Photo: Paloma Fairfax
Science Leadership Academy @ Center City · Location: 1482 Green St · Shipping: 550 N. Broad St Suite 202 · Philadelphia, PA 19130 · (215) 400-7830 (phone)
×

Log In